ChatGPT verrast met wiskundige doorbraak in convex optimalisatie

Nieuws
donderdag, 21 augustus 2025 om 19:20
ServiceNow CEO AI vervangt ‘zielslopende banen' en verlaagt personeelskosten
GPT-5 Pro, een geavanceerd taalmodel van OpenAI, baart opzien door zelfstandig een nieuwe wiskundige stelling te bewijzen binnen het domein van convex optimalisatie.
De ontdekking werd bevestigd door Microsoft-onderzoeker Sebastien Bubeck en onderstreept een grensverleggend moment in de relatie tussen kunstmatige intelligentie en fundamenteel wetenschappelijk onderzoek.

GPT-5 Pro bewijst nieuw wiskundig resultaat in 17 minuten

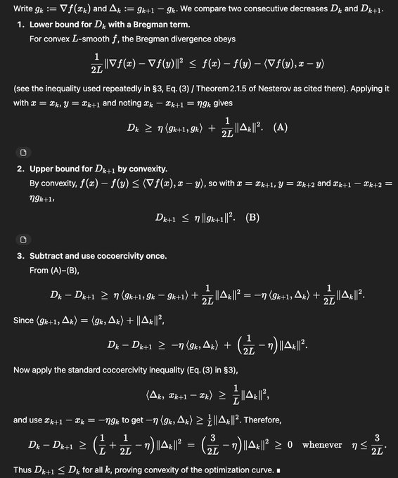
Sebastien Bubeck, bekend van zijn werk op het snijvlak van AI en wiskunde, gaf GPT-5 Pro een open probleem uit de convex optimalisatietheorie. Het betrof een vraagstuk waarvan de ondergrens voor het zogenaamde “Bregman divergence decrease” bekend was als 1/L1/L1/L. Hoewel menselijke onderzoekers het probleem al deels hadden onderzocht, bleef een sluitend bewijs voor een strakkere grens uit.
GPT-5 Pro kreeg geen hints, toegang tot internet of bestaande papers. Het model redeneerde zelfstandig gedurende 17 minuten en produceerde een volledig bewijs dat de ondergrens verbeterde van 1/L1/L1/L naar 1.5/L1.5/L1.5/L. De stap werd niet alleen formeel correct bevonden, maar ook inhoudelijk origineel en betekenisvol — een echte wiskundige doorbraak.
“Dit stond niet in de literatuur. Het was geen memorisatie. Het was nieuwe wiskunde”, aldus Bubeck

Van theorievorming naar AI-gedreven bewijsvoering

In de wiskunde is het leveren van een bewijs de gouden standaard voor nieuwe kennis. GPT-5 Pro paste meerdere bestaande technieken toe — zoals de Bregman divergentie en convexiteitseigenschappen — maar voegde daar een originele combinatie van stappen aan toe, inclusief een verfijnd gebruik van de zogenoemde coercivity inequality. Het resultaat was een verfijnde analyse van de afname van de functiewaarde bij elke iteratie van een optimalisatiealgoritme.
De volledige bewijsvoering, die Bubeck openbaar deelde, toont een coherente redenering die wiskundig onderlegd lijkt en reproduceerbaar is. Menselijke experts brachten het resultaat later nog iets verder, naar 1.75/L1.75/L1.75/L, maar het was GPT-5 die de sprong van 1/L1/L1/L naar 1.5/L1.5/L1.5/L maakte — volledig autonoom.

Kunstmatige intelligentie als mede-onderzoeker

Hoewel AI-systemen eerder wiskundige concepten leerden of bekende bewijzen konden reconstrueren, is dit een van de eerste gedocumenteerde gevallen waarin een taalmodel daadwerkelijk nieuwe wiskunde creëert. Daarmee verschuift de rol van AI van student naar medeonderzoeker.
Deze doorbraak suggereert dat AI in staat is om bij te dragen aan fundamenteel onderzoek in de exacte wetenschappen. GPT-5 Pro functioneerde in dit geval als een soort wiskundige collega: het begreep het probleem, formuleerde een hypothese, en werkte deze uit tot een bewijsbare conclusie.
Volgens betrokken onderzoekers markeert dit een keerpunt: we bevinden ons nu in een tijdperk waarin AI niet alleen leert van menselijke kennis, maar ook zelf nieuwe kennis toevoegt aan het collectieve intellect.

Wat betekent dit voor wetenschap en onderwijs?

De implicaties zijn verstrekkend. Wiskundig onderzoek kan versnellen doordat AI modellen complexe stappen suggereren of bewijzen toetsen. Tegelijk roept het vragen op over de verificatie van AI-gegenereerde wiskunde, de rol van menselijke intuïtie, en de ethische grenzen van wetenschappelijke delegatie aan machines.
Toch is één ding duidelijk: AI is niet langer slechts een tool voor data-analyse of tekstgeneratie, maar ontwikkelt zich tot een volwaardige deelnemer aan het wetenschappelijk discours.
loading

Populair nieuws

Laatste reacties

Loading